引言
TA15鈦合金是一種航空領域使用的材料,相當于19世紀60年代前蘇聯研制的BT20鈦合金,兼具α和α-β型鈦合金的優點,具有良好的耐熱性、強度、塑性、韌性、耐蝕性和抗疲勞性能等[1-3],還具有良好的加工性能,使用溫度可達500℃,已成功應用于飛機承力框、防護罩和發動機零件等,是國內最成熟、應用最廣泛的鈦合金之一[4-7]。

TA15鈦合金的性能與其組織密切相關[8]。TA15鈦合金通常要進行退火處理,退火溫度的選擇尤為重要[9-11]。本文對TA15鈦合金進行了不同溫度的退火處理,研究了退火溫度對其顯微組織和室溫及高溫力學性能的影響。
1、試驗材料和方法
試驗用TA15鈦合金采用真空自耗爐三次熔煉,鑄錠尺寸為φ760mm×2000mm,化學成分如表 1 所示。

清除鑄錠表面的異物,涂刷防護涂層,在20t臺車式燃氣爐中分段加熱,即800℃預熱150min,升溫至1150℃保溫3h后鍛造開坯成φ600mm×1000mm坯料。鍛造工藝為:首先用60MN快鍛機在β相區(1000~1150℃)進行多次自由鍛,變形量為40%~45%;隨后在α-β兩相區(940~970℃)進行多次自由鍛,變形量為35%~45%;最后采用20MN快鍛機在α-β兩相區(920~950℃)進行2火次拔長和摔圓成棒材,變形量為15%~40%,直徑為350mm。將棒材制備成φ350mm的退火處理用試棒,分別在760℃、800℃和840℃保溫2h空冷至室溫。
將退火后的試棒按GB/T228.1-2010加工成標距為25mm、標距直徑為5mm的拉伸試樣,采用AG-X萬能拉伸試驗機進行室溫和高溫(500℃)拉伸試驗,應變速率為10-3s-1。
制備金相試樣,然后采用JSM-6510型掃描電子顯微鏡進行金相檢驗和拉伸斷口分析。
2、結果與討論
2.1顯微組織
圖1為TA15鈦合金經不同溫度退火后的顯微組織。從圖1可以看出,TA15鈦合金顯微組織主要由初生α相和α+β兩相組成,退火過程中合金不僅發生了再結晶,相成分和相比例也發生了變化。

圖 1 760 ℃(a)和 840 ℃(b)退火的 TA15 合金的顯微組織
在較低溫度(760℃)退火的合金中初生α相含量較高而球化程度不足,如圖1(a)所示。隨著退火溫度的提高(840℃),β相轉變的組織逐漸增多,其中細小的α相分布雜亂,如圖1(b)所示。這種組織有利于提高合金的強度,但高溫下充分球化也使其塑性略微降低。
2.2力學性能
2.2.1室溫力學性能
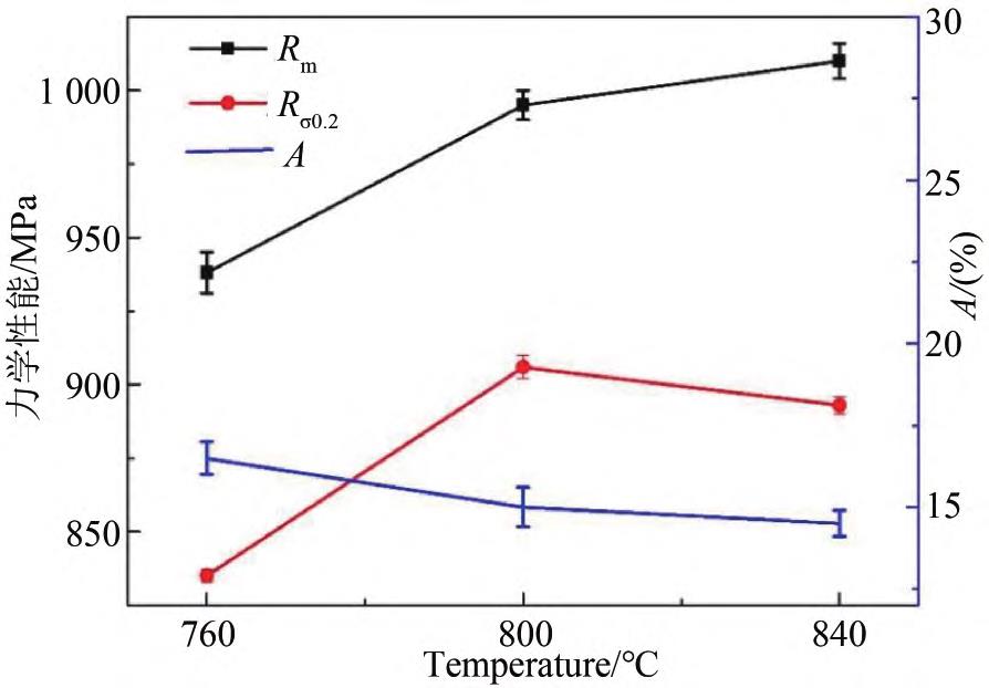
圖2為退火溫度對TA15鈦合金室溫力學性能的影響。由圖2可知,隨著退火溫度的升高,TA15鈦合金的抗拉強度升高,屈服強度先升高后略微下降,斷后伸長率降低。這與TA15鈦合金強度隨退火溫度的升高而升高的規律相同[12]。

圖 2 退火溫度對 TA15 鈦合金室溫力學性能的影響

圖 3 退火溫度對 TA15 鈦合金高溫力學性能的影響
2.2.2高溫力學性能
圖3為TA15鈦合金的高溫力學性能隨退火溫度的變化。從圖3可以看出,隨著退火溫度的升高,合金的高溫抗拉強度和屈服強度逐漸升高,而高溫斷后伸長率逐漸降低。與室溫拉伸性能相比,高溫抗拉強度比室溫的約低300MPa,而斷后伸長率比室溫的約高5%。
3、斷口分析
3.1室溫拉伸斷口
圖4為760℃和840℃退火的TA15鈦合金室溫拉伸斷口的微觀形貌。圖4表明,TA15鈦合金的室溫斷裂機制均為韌性斷裂,塑性較好。隨著退火溫度的升高,拉伸斷口的韌窩變小和變深,表明斷后伸長率逐漸升高[13]。

圖 4 760 ℃(a)和 840 ℃(b)退火的 TA15 鈦合金室溫拉伸斷口的掃描電鏡形貌
3.2高溫拉伸斷口
圖5為TA15鈦合金高溫拉伸斷口的微觀形貌,斷口有明顯的韌窩,顯示出韌性斷裂特征。高溫(840℃)退火的合金高溫拉伸斷口韌窩直徑較低溫(760℃)退火的合金細小,并且隨著退火溫度的降低,合金的拉伸斷口韌窩逐漸變深。因此,高溫退火的合金塑性較好。這可能與高溫拉伸過程中裂紋擴展速率較小有關。

圖 5 760 ℃(a)和 840 ℃(b)退火的 TA15 鈦合金高溫拉伸斷口的掃描電鏡形貌
4、結論
(1)隨著退火溫度的升高,TA15鈦合金中β相轉變的組織逐漸增多,細小的α相充分球化且分布雜亂。
(2)隨著退火溫度的升高,TA15鈦合金的室溫抗拉強度逐漸升高,室溫屈服強度先升高后有略微降低,斷后伸長率逐漸降低;高溫抗拉強度和屈服強度均隨著退火溫度的升高而升高。
(3)TA15鈦合金以韌性斷裂為主,且隨著退火溫度的升高,拉伸斷口的韌窩直徑變大變淺。
參考文獻
[1]謝旭霞,張述泉,湯海波,等.退火溫度對激光熔化沉積TA15鈦合金組織和性能的影響[J].稀有金屬材料與工程,2008,37(9):1510-1515.
[2]吳斌,唐鼎承,賀小帆,等.激光金屬沉積TA15鈦合金工字梁疲勞性能研究[J].稀有金屬,2022,46(5):545-553.
[3]邢如飛,許星元,黃雙君,等.激光沉積修復TA15鈦合金微觀組織及力學性能[J].材料與工程,2018,46(12):144-150.
[4]王維,李辛覺,趙朔,等.激光沉積修復TA15激光沉積件的組織和疲勞性能[J].稀有金屬,2019,43(10):1047-1053.
[5]卞宏友,雷洋,李英,等.預熱對激光沉積修復TA15鈦合金形貌尺寸和組織的影響[J].中國有色金屬學報,2016,26(2):310-316.
[6]付應乾,董新龍.工業純鈦動態壓縮特性及破壞的實驗研究[J].稀有金屬材料與工程,2016,45(1):102-106.
[7]黃朝文,趙永慶,辛社偉,等.高強韌鈦合金熱加工變形特征及其影響因素[J].鈦工業進展,2016,33(1):8-14.
[8]許良,黃雙君,王磊,等.激光沉積修復TA15鈦合金疲勞性能[J].稀有金屬材料與工程,2017,46(7):1943-1948.
[9]張治民,任璐英,薛勇,等.熱等靜壓Ti-6Al-4V鈦合金熱變形微觀組織演變[J].稀有金屬材料與工程,2019,48(3):820-826.
[10]徐磊,郭瑞鵬,吳杰,等.鈦合金粉末熱等靜壓近凈成形研究進展[J].金屬學報,2018,54(11):1537-1552.
[11]陰中煒,孫彥波,張緒虎,等.粉末鈦合金熱等靜壓近凈成形技術及發展現狀[J].材料導報,2019,33(7):1099-1108.
[12]喬虹,曾元松,王富鑫,等.熔鑄態和鍛態TiBw/TA15復合材料熱變形行為研究[J].鈦工業進展,2023,40(1):1-9.
[13]張金勇,陳冠方,張帥,等.亞穩β型TRIP/TWIP鈦合金研究進展[J].稀有金屬材料與工程,2020,49(1):370-376.
相關鏈接
- 2024-03-14 不同熱處理溫度對TA15鈦合金棒材組織和力學性能的影響
- 2024-03-05 飛機結構和發動機用TA15鈦合金中板組織與力學性能研究
- 2024-02-29 航空用Ti60鈦合金棒的顯微組織與拉伸性能分析
- 2024-02-20 等離子電弧增材TA15鈦合金板組織與性能研究
- 2024-02-14 固溶冷卻方式對Ti60鈦合金大規格棒材組織和力學性能的影響
- 2024-02-05 航空用高強高塑超大規格TB15鈦合金棒材組織與拉伸性能研究
- 2024-02-04 航空發動機用Ti60高溫鈦合金棒材的超塑性拉伸行為及組織演變
- 2024-02-02 冷卻方式對航空航天領域用TA15鈦合金棒組織與力學性能關系的影響
- 2024-01-29 潛艇艦船用Ti80鈦合金棒材黑斑缺陷分析
- 2024-01-26 表面處理工藝對TA15鈦合金板材彎曲性能的影響

